高校1年「数学科」実践報告 数学探究「相関係数の正体~ベクトルで解釈する相関係数の意味」(2024年度 算数・数学部会 実践報告書)

教科・単元、キーワード
  • 算数・数学
  • 探究力・活用力
  • ICT(情報通信技術)
  • 対話的な学び
  • 現代的な課題
  • 主体性
コンピテンシー
校種・学年
  • 高校
  • 高1
  • 高2
  • 高3
校種間連携
  • 小学校
  • 中学校
  • 高等学校
  • 大学
概要

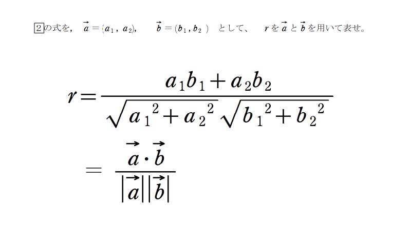
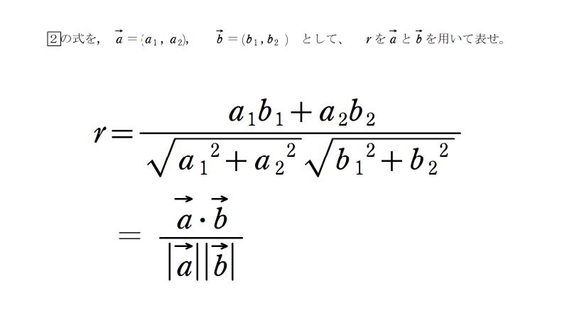
データの分析の授業で相関係数について学ぶ。相関係数の値が-1 から1までの実数しかとらないのはなぜか。相関係数の公式はなぜあのような面倒な式になっているのか。これらは直感的に理解することは難しい。データという数値の塊をベクトルの成分と考えることで、相関係数の正体はcosθの値であることがわかる。θは二つのデータベクトルのなす角である。つまり、相関係数はどれだけ同じ方向を向いているかということをcosの値としてとらえる試みであることが明らかとなる。今回は高校1年生での実践例を報告する。また、数学Cのベクトルの学習の後に応用として取り入れることも可能であるだろう。高校数学がデータの分析手法の根拠となっていることを学び、生徒はより数学の有用性を実感できるだろう。


出典:三橋一行(2025)「高校1年生:数学探究 相関係数の正体~ベクトルで解釈する相関係数の意味」 お茶の水女子大学附属学校園連携研究「算数・数学部会」『2024年度実践報告書:小中高の視点から算数・数学の授業をつくる~統計的問題解決力の育成に向けて~』, p.25-29.

コンテンツ担当者・著者

お茶の水女子大学附属高等学校 三橋一行

論文・教材本文
高校1年「数学科」実践報告 数学探究「相関係数の正体~ベクトルで解釈する相関係数の意味」(2024年度 算数・数学部会 実践報告書)
関連情報
2024年度 実践報告書_目次 テーマ: 小中高の視点から算数・数学の授業をつくる ~統計的問題解決力の育成に向けて~.pdf お茶の水女子大学附属学校園 連携研究 算数・数学部会 Webサイト

この教材を閲覧したユーザーは以下の教材も閲覧しています

  • 高校1年「数学科」実践報告 データの分析「仮説検定の考え方 Ver.2」(2024年度 算数・数学部会 実践報告書)

  • さくらサイエンスハイスクールプログラムを活用した国際性の育成―科学の力で未来を共創する女性リーダーの育成に向けて―(2024年度 高校研究紀要 第70号)

  • ChatGPTを活用した英文エッセイライティング指導の試み(2024年度 高校研究紀要 第70号)

アンケート

本教材・論文の感想をお教え下さい。



Q1.本教材・論文は参考になりましたか

参考になった   ←   どちらでもない  →   参考にならなかった


Q2.本教材・論文を活用して実際に授業等の教育活動を実践したいとお考えですか

実践したい   ←   どちらでもない   →   実践は考えていない


Q3.Q1、Q2でお答えになった理由や、本教材・論文に関するご意見ご感想など、ぜひお聞かせください


Q4.あなたご自身についてお教え下さい

ご所属:


職種:


*ホームページ等へコメントを掲載させていただくことがあります。ご了承ください。


  • 登録日時 2025-07-04 18:04:20
  • 更新日時 2025-10-22 19:08:15
  • ページビュー数 278回